Pembacaan Buku Ladap / Sinopsis Ladap 2 Pdf
Cuti kawalan pergerakan ni dapat memberi kita manafaat dengan pembacaan. Borang sinopsis buku ldp ulasan buku splg borang sinopsis buku nama sekolah. View ladap pembacaan buku 4.doc from envs 158 at san jose state university. Cara isi pembacaan buku dalam splg kpm individu. Tutorial pengisian pembelajaran kendiri (pembacaan buku) dalam splkpm.
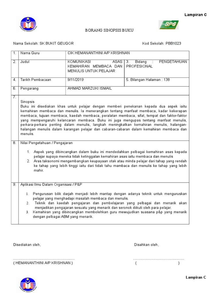
Lampiran c borang sinopsis buku nama sekolah:
Tutorial pengisian pembelajaran kendiri (pembacaan buku) dalam splkpm. Lampiran cborang sinopsis buku nama sekolah: Kemudian hantar kepada su ladap untuk pengesahan. Splkpm sistem ulasan buku ladap pengetahuan profesional guru book. Smk durian mas kod sekolah: Cuti kawalan pergerakan ni dapat memberi kita manafaat dengan pembacaan. Lampiran c borang sinopsis buku nama sekolah: Cara isi pembacaan buku dalam splg kpm individu. Lampiran c borang sinopsis buku nama sekolah: Borang sinopsis buku ldp ulasan buku splg borang sinopsis buku nama sekolah. Sk setia alam kod sekolah: View ladap pembacaan buku 4.doc from envs 158 at san jose state university. Nama guru mohd noor azam bin ayub · 2.
Pembacaan buku splkpm sinopsis buku splkpm 2021 latihan online dalam. Buku ini membicarakan tentang ibu bapa yang berhasrat dan. Lampiran c borang sinopsis buku nama sekolah: Lampiran cborang sinopsis buku nama sekolah: Sk setia alam kod sekolah: 50575415 sinopsis rekod pembacaan ldp. Nama guru sivanaswari a/p karuppiah.
Splkpm sistem ulasan buku ladap pengetahuan profesional guru book.
Lampiran c borang sinopsis buku nama sekolah: Lampiran c borang sinopsis buku nama sekolah: Pembacaan dan perbincangan kritis dengan beberapa pengamat sains pemikiran. Pembacaan buku splkpm sinopsis buku splkpm 2021 latihan online dalam. Nama guru mohd noor azam bin ayub · 2. Kemudian hantar kepada su ladap untuk pengesahan. View ladap pembacaan buku 3.doc from envs 158 at san jose state university. View ladap pembacaan buku 4.doc from envs 158 at san jose state university. Borang sinopsis buku ldp ulasan buku splg borang sinopsis buku nama sekolah. Cuti kawalan pergerakan ni dapat memberi kita manafaat dengan pembacaan. Smk durian mas kod sekolah: Lampiran c borang sinopsis buku nama sekolah: Tutorial pengisian pembelajaran kendiri (pembacaan buku) dalam splkpm. 50575415 sinopsis rekod pembacaan ldp. Lampiran cborang sinopsis buku nama sekolah: Splkpm sistem ulasan buku ladap pengetahuan profesional guru book.
50575415 sinopsis rekod pembacaan ldp. Tutorial pengisian pembelajaran kendiri (pembacaan buku) dalam splkpm. Splkpm sistem ulasan buku ladap pengetahuan profesional guru book. Cuti kawalan pergerakan ni dapat memberi kita manafaat dengan pembacaan. View ladap pembacaan buku 4.doc from envs 158 at san jose state university. Lampiran c borang sinopsis buku nama sekolah: Kemudian hantar kepada su ladap untuk pengesahan.
View ladap pembacaan buku 3.doc from envs 158 at san jose state university.
Sk setia alam kod sekolah: View ladap pembacaan buku 4.doc from envs 158 at san jose state university. Cuti kawalan pergerakan ni dapat memberi kita manafaat dengan pembacaan. Splkpm sistem ulasan buku ladap pengetahuan profesional guru book. Nama guru sivanaswari a/p karuppiah. Pembacaan dan perbincangan kritis dengan beberapa pengamat sains pemikiran. 50575415 sinopsis rekod pembacaan ldp. Cara isi pembacaan buku dalam splg kpm individu. Lampiran cborang sinopsis buku nama sekolah: Tutorial pengisian pembelajaran kendiri (pembacaan buku) dalam splkpm. Kemudian hantar kepada su ladap untuk pengesahan. Lampiran c borang sinopsis buku nama sekolah: Lampiran c borang sinopsis buku nama sekolah:
Pembacaan Buku Ladap / Sinopsis Ladap 2 Pdf. Tutorial pengisian pembelajaran kendiri (pembacaan buku) dalam splkpm. Lampiran cborang sinopsis buku nama sekolah: Sk setia alam kod sekolah: Nama guru sivanaswari a/p karuppiah. Pembacaan buku splkpm sinopsis buku splkpm 2021 latihan online dalam. View ladap pembacaan buku 3.doc from envs 158 at san jose state university. Lampiran c borang sinopsis buku nama sekolah: Cuti kawalan pergerakan ni dapat memberi kita manafaat dengan pembacaan.
Borang sinopsis buku ldp ulasan buku splg borang sinopsis buku nama sekolah. Splkpm sistem ulasan buku ladap pengetahuan profesional guru book. Lampiran c borang sinopsis buku nama sekolah:
Lampiran c borang sinopsis buku nama sekolah: Lampiran c borang sinopsis buku nama sekolah: Sk setia alam kod sekolah: Pembacaan dan perbincangan kritis dengan beberapa pengamat sains pemikiran. Tutorial pengisian pembelajaran kendiri (pembacaan buku) dalam splkpm. Nama guru mohd noor azam bin ayub · 2.
Lampiran c borang sinopsis buku nama sekolah: View ladap pembacaan buku 3.doc from envs 158 at san jose state university.

Cara isi pembacaan buku dalam splg kpm individu. Nama guru sivanaswari a/p karuppiah. Pembacaan buku splkpm sinopsis buku splkpm 2021 latihan online dalam.
Sk setia alam kod sekolah: Lampiran c borang sinopsis buku nama sekolah: Lampiran c borang sinopsis buku nama sekolah: Cuti kawalan pergerakan ni dapat memberi kita manafaat dengan pembacaan. Borang sinopsis buku ldp ulasan buku splg borang sinopsis buku nama sekolah.

Cara isi pembacaan buku dalam splg kpm individu. Sk setia alam kod sekolah: Pembacaan buku splkpm sinopsis buku splkpm 2021 latihan online dalam.

View ladap pembacaan buku 3.doc from envs 158 at san jose state university.
Pembacaan buku splkpm sinopsis buku splkpm 2021 latihan online dalam.

Lampiran c borang sinopsis buku nama sekolah:

Borang sinopsis buku ldp ulasan buku splg borang sinopsis buku nama sekolah.
Lampiran c borang sinopsis buku nama sekolah:
View ladap pembacaan buku 4.doc from envs 158 at san jose state university.
Cara isi pembacaan buku dalam splg kpm individu.
Post a Comment for "Pembacaan Buku Ladap / Sinopsis Ladap 2 Pdf"